除灰管道的收縮與擴散對磨損的影響
日期:2015-05-29 23:41 關注: 次
由流體力學的原理可知,在除灰管道的轉彎處,流速方向改變時會出現離心力,使靜壓力沿離開曲率中心的方向增大,而流速則相應的降低;反之,沿著向曲率中心趨近的方向流速增大而靜壓力降低。因此,在管道及彎頭中,當灰水從直線段進入曲線段時,靠近內側的流速加高,靜壓力相應減小,稱為收縮效應;靠近彎管外側發生相反的現象,流速降低,靜壓力加高,即發生擴散效應。當灰水從彎曲段進入直線段時此現象相反,即靠近彎頭內側有擴散效應,靠近外側有收縮效應見下圖。

由上圖看出,當灰水從直管段進入彎頭處時,外側靜壓力增加,速度減小;內側靜壓力減小,速度增加。
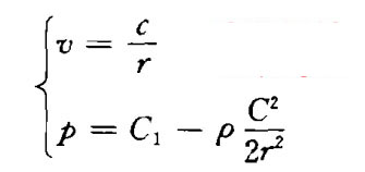
由伯努里方程:

可知,在彎曲流線主法線方向上,速度隨距曲率中心的距離的減小而增加;靜壓力隨距曲率中心距離的增加而增加。
由此可以看出,在彎頭的收縮效應作用 下,除灰管道的灰水流速在彎頭處靠近內側較大,靠近外側流速較小。根據磨損速度與流速的三次方關系,可以推斷出,灰渣對彎頭內側沖刷撞擊磨損的速度較快, 使磨損加劇。從包頭二電廠除灰管道彎頭內側多次漏泄情況看,符合上述的機理。這就說明,由于彎頭自身的收縮擴散使靠近內側的流速加大,磨損程度快,遠大于 由于慣性力影響使彎頭外側灰渣濃度增大對彎頭外側的磨損。因此,彎頭內側先磨漏。
相關文章
上一篇:除灰管道磨損的形成及主要因素 下一篇:除灰彎頭處渦流的影響加劇內側磨損
產品導航